
Real-time monitoring of medication efficacy and side effects.

Digital endpoints and real-time monitoring for pharmaceutical clinical trials.
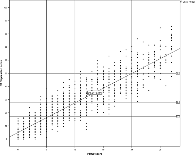
Validated measures of depression & anxiety.
Within 4–6 days.
Real-world evidence generation.
Olanzapine and Lithium outcome data collected via Psynary supported research into early response patterns.

Faster recruitment and early efficacy detection reduce overall costs.
Digital endpoints provide robust data for regulatory approval.
Post-marketing surveillance and real-world evidence generation.
Collect structured patient-reported data to support trial timelines, data quality, and researcher review with Psynary's digital data collection platform.
Partner with Psynary to collect structured patient-reported data for clinical trials and post-marketing studies.